![]() |
siderust-cpp
Header-only C++ wrapper for siderust
|
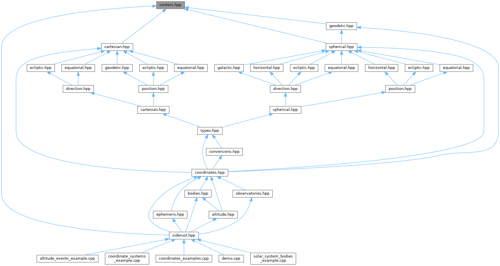
Zero-sized reference-center tag types mirroring Rust's centers module. More...
#include "ffi_core.hpp"

Go to the source code of this file.
Namespaces | |
| namespace | siderust |
| namespace | siderust::centers |
Macros | |
| #define | SIDERUST_CENTER_TRANSFORM_PAIR(A, B) |
Variables | |
| template<typename C > | |
| constexpr bool | siderust::centers::is_center_v = is_center<C>::value |
| template<typename From , typename To > | |
| constexpr bool | siderust::centers::has_center_transform_v = has_center_transform<From, To>::value |
Zero-sized reference-center tag types mirroring Rust's centers module.
Each center is a unique empty struct used as a compile-time tag for position templates. Every tag carries a static ffi_id mapping to the C enum, and optionally a Params type for parameterized centers (Topocentric, Bodycentric).
Definition in file centers.hpp.
| #define SIDERUST_CENTER_TRANSFORM_PAIR | ( | A, | |
| B | |||
| ) |
Definition at line 111 of file centers.hpp.